A Fair User Selection Algorithm for Multi-User Massive MIMO System
DOI:
https://doi.org/10.12962/j25796216.v2.i2.49Abstract
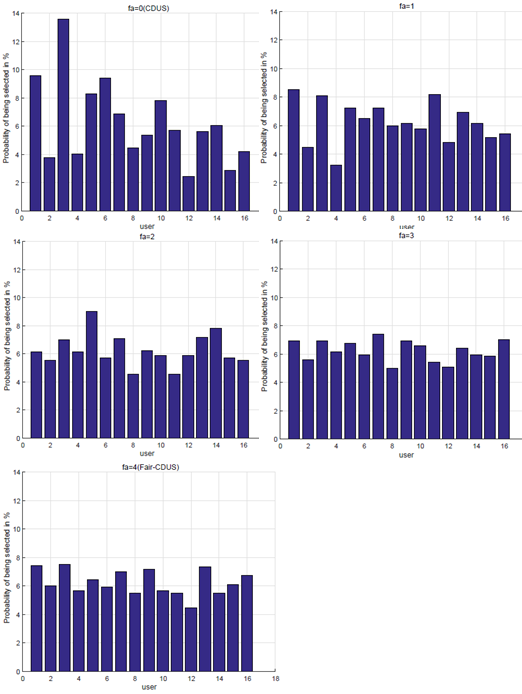
Massive Multiple-input Multiple-output (Massive MIMO) system is one of the most potential candidates for the fifth-generation wireless communication. Massive-MIMO system employs a very large number of antennas which could easily reach more than a thousand antennas in the future. Instead of using an omni directional antenna which is a very popular base station antenna nowadays, massive-MIMO uses its large number of antennas to create multiple smaller beams which are transmitted directly into the intended receivers. In this paper, we develop a user-scheduling technique for Multi-user Massive-MIMO system called Fair-CDUS which is developed from charcoal distance-based user selection (CDUS) technique. Fair-CDUS aims to give more fairness to users in term of selection frequency and at the same time could maintain the total throughput performance. Some experimental scenarios with a different number of beams and a different number of receiving antenna are presented in this paper. We believe this proposed method could be a potential method to be used in Multi-user Massive-MIMO system.
Keyword: Massive-MIMO, Multi-user, 5G, User Scheduling, Fairness
References
H Wu, D Liu, and W Wu. “Low Complexity Two-stages User Scheduling Scheme for MmWave Massive MIMO Hybrid Beamforming Systems,” 2017 3rd IEEE International Conference on Computer and Communications (ICC), December, 2017.
E Bjornson and M Debbah. “Massive MIMO for Maximal Spectral Efficiency: How Many Users and Pilots Should Be Allocated?,” IEEE Transactions on Wireless Communications, Vol. 15, No. 2, pp. 1293-1308, February, 2016.
X Gao, F Tufvesson, and O Edfors. “Massive MIMO Channels – Measurements and Models,” 2013 Asilomar Conference on Signals, Systems and Computers, November, 2013.
H Miyazaki, S Suyama, T Okuyama, J Mashino, and Y Okumura. “User Selection and Rank Adaptation for Multi-User Massive MIMO with Hybrid Beamforming,” IEEE 86th Vehicular Technology Conference, September, 2017.
E Bjornson, E G Larsson, and T L Marzetta. “Massive MIMO: Ten Myths and One Critical Question,” IEEE Communications Magazine, Vol. 54, No. 2, February, 2016.
X Chen, F K Gong, H Zhang. “Cooperative User Scheduling in Massive MIMO Systems,” IEEE Access, Vol. 6, pp. 2169-3536, April, 2018.
T E Bogale, L B Le, and A Haghigat. “User Scheduling for Massive MIMO OFDMA Systems with Hybrid Analog-Digital Beamforming,” 2015 IEEE International Conference on Communications (ICC), June, 2015.
S E Hajri, M Assaad, and G Caire. “Scheduling in Massive MIMO: User Clustering and Pilot Assignment,” 2016 54th Annual Allerton Conference on Communication, Control, and Computing, September, 2016.
Z Jiang, S Chen, S Zhou, and Z Niu. “Joint User Scheduling and Beam Selection Optimization for Beam-Based Massive MIMO Downlinks,” IEEE Transactions on Wireless Communications, Vol. 7, No. 4, pp. 2190-2204, April, 2018.
G Lee and Y Sung. “A New Approach to User Scheduling in Massive Multi-User MIMO Broadcast Channels,” IEEE Transactions on Communications, Vol. 44, No. 4, pp. 1481-1495, April 2018.
Y Xu, G Yue, S Mao. “User Grouping for Massive MIMO in FDD Systems: New Design Methods and Analysis,” IEEE Access, Vo. 2, pp. 947-959, September, 2014.
J Hoydis, S T Brink, and M Debbah. “Massive MIMO in the UL/DL of Cellular Networks: How Many Antennas Do We Need?” IEEE Journal on Selected Areas in Communications, Vol. 31, No. 2, pp. 160-171, February, 2013.
C Lu, W Wang, W Zhong, and X Gao. “User Scheduling and Beam Allocation for Massive MIMO Systems with Two-Stage Precoding,” 2016 IEEE 27th Annual International Symposium on Personal, Indoor, and Mobile Radio Communications (PIMRC), September, 2016.
Q H Spencer, A L Swindlehurst, and M Haardt. “Zero-Forcing Methods for Downlink Spatial Multiplexing in Multiuser MIMO Channels,” IEEE Transactions on Signal Processing, Vol. 52, No. 2, pp. 461-471, February, 2004.
H Murata and R Shinohara. “Performance improvement of ZF-precoded MU-MIMO transmission by collaborative interference cancellation,” IEICE Communication Express, Vol. 4, No. 5, pp. 155-160, May, 2015.
G Xu, A Liu, W Jiang, H Xiang, and W Luo. “Joint User Scheduling and Antenna Selection in Distributed Massive MIMO Systems with Limited Backhaul Capacity,” China Communications, Vo. 11, No. 5, pp. 17-30, May, 2014.
E Bjornson, M Bengtsson, and B Otterten. “Optimal Multiuser Transmit Beamforming: A Difficult Problem with a Simple Solution Structure [Lecture Notes],” IEEE Signal Processing Magazine, Vol. 31, No. 4, pp. 142-148, June, 2014.
E Bjornson, L Sanguinetti, J Hoydis, and M Debbah. “Optimal Design of Energy-Efficient Multi-User MIMO Systems: Is Massive MIMO the Answer?” IEEE Transactions on Wireless Communication, Vol. 14, No. 6, pp. 3059-3075, February, 2015.
X Liu and X Wang. “Efficient Antenna Selection and User Scheduling in 5G Massive MIMO-NOMA System,” 2016 IEEE 83rd Vehicular Technology Conference (VTC Spring), May, 2016.
M Benmmimoune, E Driouch, W Ajib, and D Massicotte. “Joint Transmit Antenna Selection and User Scheduling for Massive MIMO Systems,” 2015 IEEE Wireless Communications and Networking Conference (WCNC 2015), March, 2015.
B Zhou, B Bai, Y Li, D Gu, and Y Luo. “Chordal Distance-Based User Selection Algorithm for the Multiuser MIMO Downlink with Perfect or Partial CSIT,” IEEE International Conference on Advanced Information Networking and Applications, March, 2011.
Z Shen, R Chen, J Andrewsm R Heathm and B Evans. "Low Complexity User Selection Algorithms for Multiuser MIMO Systems with Block Diagonalization,” IEEE Transaction on Signal Processing, Vol. 54, No. 9, pp. 3658-3663, September, 2006.
J Shikida, N Ishii, and Y Kakura. “Performance Analysis of Low-Complexity Multi-User MIMO Scheduling Schemes for Massive MIMO System,” 2016 22nd Asia-Pacific Conference on Communications (APCC), August, 2016.
Downloads
Additional Files
Published
Issue
Section
License
Copyright
Submission of a manuscript implies that the submitted work has not been published before (except as part of a thesis or report, or abstract); that it is not under consideration for publication elsewhere; that its publication has been approved by all co-authors. If and when the manuscript is accepted for publication, the author(s) still hold the copyright and retain publishing rights without restrictions. Authors or others are allowed to multiply article as long as not for commercial purposes. For the new invention, authors are suggested to manage its patent before published. The license type is CC-BY-NC 4.0.
Disclaimer
No responsibility is assumed by publisher and co-publishers, nor by the editors for any injury and/or damage to persons or property as a result of any actual or alleged libelous statements, infringement of intellectual property or privacy rights, or products liability, whether resulting from negligence or otherwise, or from any use or operation of any ideas, instructions, procedures, products or methods contained in the material therein.


